首页 > Products > HVAC vibration isolator > HVAC vibration isolator
TR Transformer vibration isolation
-
TR Transformer vibration isolation Overview -
Category machine mounting for transformers Material PolyethyleneStainless steel pressure plate37.5 mm Sylodyn® isolating layerCoating — Permissible temperature range -30 °C to +70 °C Dimensions (unloaded) 69 × 150 × 150 mm -
TR Transformer vibration isolation Advantage +
-
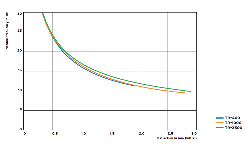
TR Transformer vibration isolation Performance +
-
TR Transformer vibration isolation Specifications +

Chinese
English










Top