首页 > Products > HVAC vibration isolator > HVAC vibration isolator
DZE 3D damping vibration isolator
-
DZE 3D damping vibration isolator Overview -
Category Pressure-tension element Material Die-cast stainless steel:housing 1.4308, inner part 1.430119 mm Sylodamp®30 mm Sylodyn® isolating layerCoating — Permissible temperature range -30 °C to +70 °C Dimensions (unloaded) 75,5 × 116 × 116 mm -
DZE 3D damping vibration isolator Advantage +
-
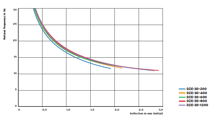
DZE 3D damping vibration isolator Performance +
-
DZE 3D damping vibration isolator Specifications +

Chinese
English









Top