首页 > Products > HVAC vibration isolator > HVAC vibration isolator
COMPACT damping vibration isolator
-
COMPACT damping vibration isolator Overview -
COMPACT damping vibration isolator is a high-quality and high-performance vibration isolator. When rubber metal vibration isolators cannot achieve high-quality vibration isolation, they can be selected.
Application scope:COMPACT damping vibration isolayors are highly suitable for both internal and external areas. Various types of equipment that can be used to quickly isolate structural noise and vibration.
It has a wide range of applications, such as being used as an elastic support structure for the following devices:➤ Small pump➤ Compressor➤ Split type air conditioning equipment➤ Compressor➤ Small motor➤ Motor -
COMPACT damping vibration isolator Advantage +
-
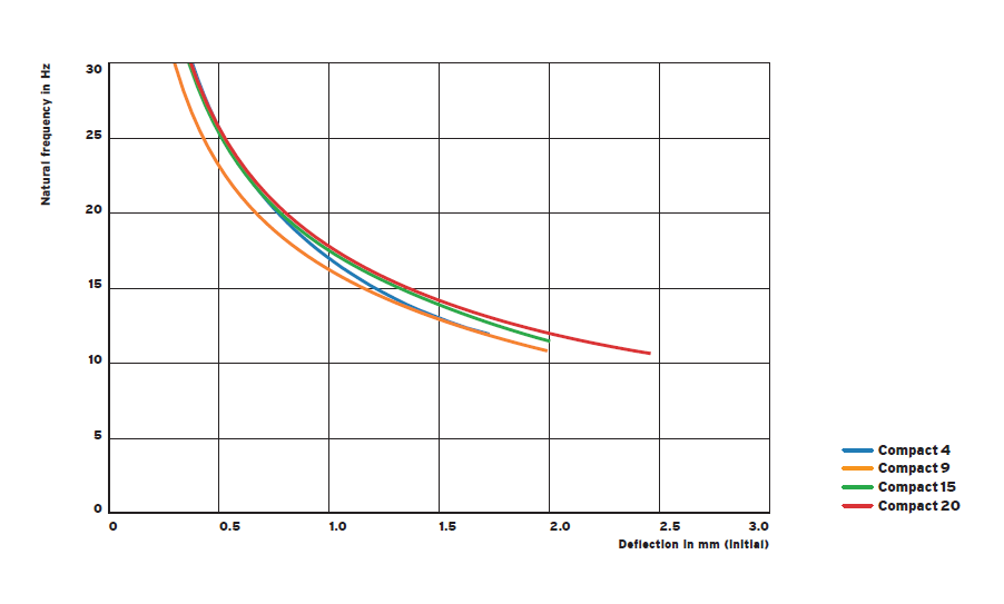
COMPACT damping vibration isolator Performance +
-
COMPACT damping vibration isolator Specifications +

Chinese
English
















Top